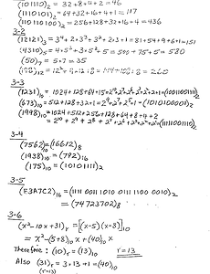
분류 전체보기1383 펀드 투자 위험 주의 4가지 (해지, 잠재적 이해, 수수료, 해외 납세) 펀드 투자 위험 주의 4가지 (해지, 잠재적 이해, 수수료, 해외 납세) 1. 투자 위험, 신탁 해지 아래 두 가지 경우엔 집합투자업자가 투자자의 동의 없이 해당 집합투자기구를 해지하는 투자 위험이 있습니다. 1. 신탁을 설정한 후 1년경과 시점에서 설정 원본이 50억 원 미만인 경우. 2. 신탁을 설정하고 1년이 지나간 이후 1개월간 계속하여 펀드 투자신탁의 설정 원본이 50억 원 미만인 경우. 2. 잠재적 이해 상충 (Potential Conflicts of Interest) 집합투자업자는 아래 3가지 경우 잠재적인 이해 상충을 포함하는 거래를 시행할 수 있습니다. 1. 집합투자기구와 집합투자업자의 이해관계인 (집합투자업자의 임직원, 대주주 및 그 배우자, 계열회사 및 그 임직원을 포함하며 이에 한정.. 2018. 2. 27. [자바스크립트 강좌 009] 즉시 실행 함수 사용 (Javascript Function) [자바스크립트 강좌 009] 즉시 실행 함수 사용 (Javascript Function) 함수를 정의함과 동시에 바로 실행하는 함수를 Javascript 즉시 실행 함수라고 한다. 이 함수도 익명 함수를 응용한 형태이다. 우선 다음 예제 코드를 살펴보자. 익명 함수를 정의함과 동시에 결과가 출력된다. 123(function (name) { console.log('This is the immediate function -> ' + name);})('foo');Colored by Color Scriptercs This is the immediate function --> foo 자바스크립트 즉시 실행 함수를 만드는 방법은 간단하다. 우선 함수 리터럴을 괄호()로 둘러싼다. 이때 함수 이름이 있든 없든 상관없.. 2018. 2. 26. 컴퓨터구조 연습문제 해답 [모리스 마노 4 챕터] 컴퓨터구조 연습문제 해답 [모리스 마노 5 챕터] - 모리스마노 컴퓨터구조 답안 1 - MANOSM (1 ~ 7).zip [링크] - 모리스마노 컴퓨터구조 답안 2 - MANOSM (8 ~ 13).zip [링크] 컴퓨터구조 연습문제 해답 [모리스 마노 4 챕터] 2018. 2. 25. 컴퓨터구조 연습문제 해답 [모리스 마노 3 챕터] 컴퓨터구조 연습문제 해답 [모리스 마노 5 챕터] - 모리스마노 컴퓨터구조 답안 1 - MANOSM (1 ~ 7).zip [링크]- 모리스마노 컴퓨터구조 답안 2 - MANOSM (8 ~ 13).zip [링크] 컴퓨터구조 연습문제 해답 [모리스 마노 3 챕터] 2018. 2. 24. 이전 1 ··· 229 230 231 232 233 234 235 ··· 346 다음